Fig. 1
From: Scavengers of hemoproteins as potential biomarkers for severe sepsis and septic shock

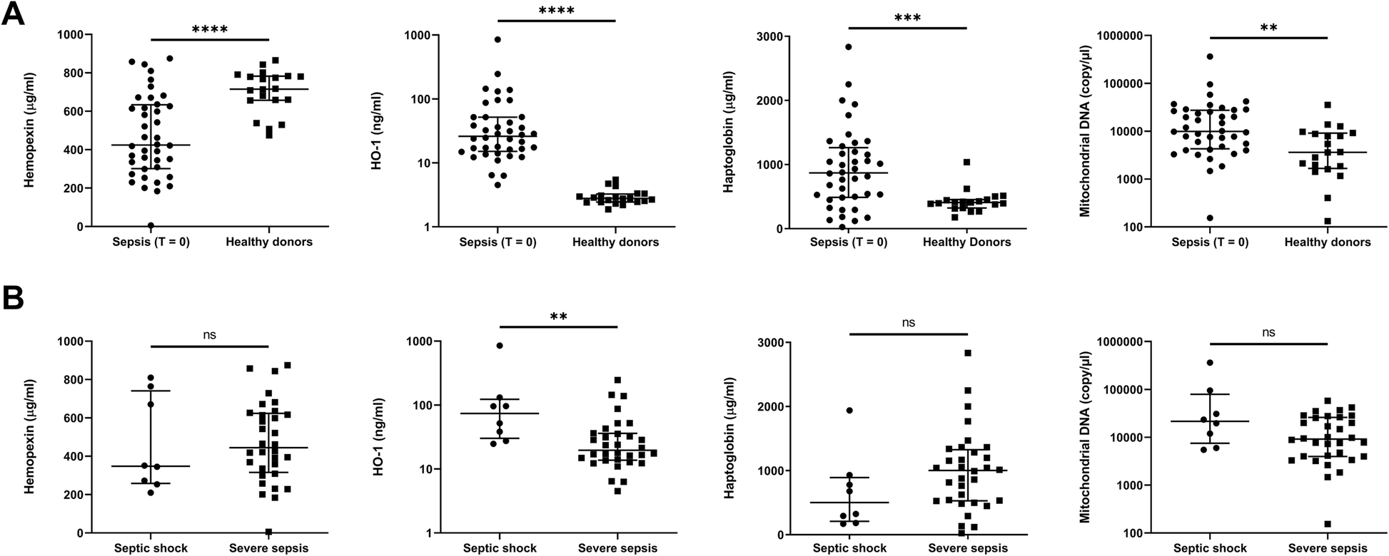
Hemoprotein scavengers and mitochondrial damage markers in sepsis patients at baseline and healthy donors. a Plasma levels of hemopexin, HO-1, haptoglobin and mitochondrial DNA are shown in healthy donors (n = 20) and in sepsis patients at baseline (n = 40). b Baseline (t = 0) plasma levels of hemopexin, HO-1, haptoglobin and mitochondrial DNA are shown in patients with severe sepsis (n = 32) and patients with septic shock (n = 8). Data are presented as median ± interquartile range. Groups have been compared using Mann-Whitney Rank Sum Test; P < 0.05 was considered significant. **P < 0.01, ****P < 0.0001