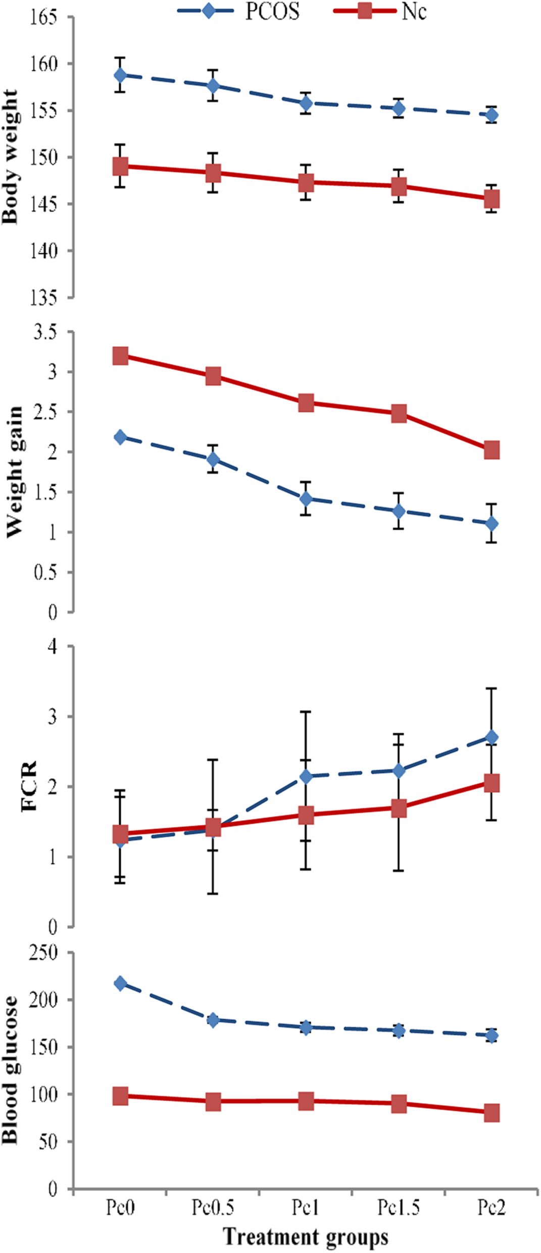
Fig. 4From: Effect of hydrolysable tannin on nutrient intake obesity and other associated metabolic risk factors in polycystic ratsWeekly body weight, weight gain (g), FCR (%) and blood glucose (mg/dl) of PCOS ratsBack to article page